来源:网络转载更新时间:2021-01-07 14:01:10点击次数:3156次
0引言
稳定土拌和站是可以进行方便的拆装组合式设备,设备本身具备砂石骨料配料系统、供水系统、拌料系统、成品料输送机、成品料储料仓、气路系统、电控系统等。
配料系统是一种应用于工业和农业生产自动化的配料设备,通常使用带有自动配料算法软件的微机,由一套PLC配料设备和一套上位机监控配料设备组成,作为自动配料的控制系统叫其中,PLC配料设备由配料控制器(如STEC控制器)、配料仪表及通讯电缆组成,STEC控制器之间用以太网通讯,STEC控制器还提供RS232、RS485接口和ADSL、GPRS、CDMA,光纤等通讯;上位机监控配料设备可以安装SRDev2.0编程软件及HOMS组态软件,用于对整个配料系统进行实时监控,画面显示和报表打印;PLC用于实现配料的自动控制;配料仪表用于配料的PID调节及瞬时流量和累计流量等参数的显示;控制柜用于配料系统的逻辑控制和供配电;现场手操箱控制现场单台设备的启停控制。
1稳定土拌和站动态配料系统
1.1动态配料监控系统工作流程
动态配料监控系统工作流程如图1所示:

从图1.1看出,骨料(碎石、砂)通过装载机装到配料站的储料仓中,通过控制系统计量给出,送至上料皮带机接料斗,再由上料皮带机把骨料输送至搅拌机上部的待料斗;同时,经控制系统的控制,水泥由水泥仓经螺旋输送机输送至水泥称量斗,水和添加剂由供液系统输送至水称量斗和添加剂称量斗内。物料全部称量好后,按一定的顺序打开待料斗气动门、水泥称量斗气动蝶阀、粉煤灰称量斗气动蝶阀、水称量斗气动蝶阀、添加剂称量斗气动球阀,同时,开启待料斗振机、水泥称量斗振机、粉煤灰称量斗振机、进水管加压泵,使各物料进入搅拌机中,由搅拌机搅拌均匀。搅拌好后经搅拌机出料门通过出料斗卸入搅拌运输车完成一个搅拌周期。以上整个过程均由电脑控制自动完成。
1.2动态称重误差与滞后过程分析
在实际工业生产过程中,普遍存在着时滞,典型的时滞工艺过程有皮带输送过程、管道输送过程及大多数热力过程等。例如,在混凝土搅拌系统中,使用水平皮带运输物料时,在拉斗升降、开闭合仓门、以及称量斗的过程中都会出现滞后现象。
时滞产生的主要原因有:对系统变量的测量、系统中设备的物理性质及物或信号的传递等。在实际工程控制问题中,有时因滞后系统的影响不大而在系统的设计或模型中将滞后省略。但是在更多的实际工程中,滞后是不能省略的。特别当对象的纯滞后时间与对象的时间常数之比大于0.3时(称为大时滞过程),采用常规控制方法很难获得满意的控制性能。
1.3动态配料系统物理模型与数学建模
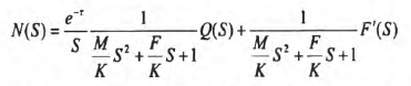
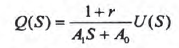
混凝土配料控制系统的关键在于称量的准确性(设定值等于称重值)。分析物料称重系统的物理模型可以得岀称量斗的数学模型为:
![]()
其中:F表示物料下料时产生的重力,为称量斗的输入,M表示称量斗自身重量,Y0表示称量斗位移,K表示称重系统的弹性系数,KY0表示称量测量值。拉氏变换为:
![]()
故系统传递函数为:

通过分析上述建模过程,可以得出动态配料的被控对象近似为二阶系统和二阶延迟系统。在动态配料过程中,影响配料精度和速度的主要有两个决定因素:称重产生的误差和滞后现象。
2动态配料PID控制算法与参数在线调节方案
2.1PID控制算法
在工程实际中,当我们不完全了解一个系统和被控对象,或不能通过有效的测量手段来获得系统参数时,最适合用PID控制技术气PID控制器就是根据系统的误差,利用比例、积分、微分计算出控制量进行控制的。
(1)遇限削弱积分法
这一方法是考虑了在实际过程中,控制变量U因受到执行元件机械和物理性能的约束而控制在有限范围内,即:Umin 该方法的思想是:一旦控制变量进入饱和区,将只执行削弱积分项的运算而停止进行增大积分项的运算。也就是说,在计算U(k)时,将判断上一时刻的控制量U(k)是否已超出限制范围,如果已超出,那么将根据误差的符号,判断系统输出是否在超调区域,由此决定是否将相应误差计入积分项。
(2)微分先行PID控制
微分先行PID控制是只对输出量进行微分,而对给定指令不起微分作用,因此它适合于给定指令频繁升降的场合,可以避免指令的改变导致超调过大。
(3)带死区的PID控制
在控制精度要求不高、控制过程要求平稳的场合,为了避免控制动作过于频繁,消除由此引起的振荡,可以人为的设置
一个不灵敏区B,即带死区的PID控制。只有不在死区范围内时,才按PID算式计算控制量。
以上是一些常用的较为简单的改进PID控制,当然,随着控制理论的发展,目前各种新的改进型PID控制不断出现,包括与智能控制相结合而形成的模糊PID,神经网络PID等等,但是从实用性来看,上述方法在很长的一段时间内都将是工程设计人员的首选叫

PID控制性能指标和输入信号有关,由于外部信号具有随机性、复杂性,从上述得出的图2仿真图可以看出,四种不同PID控制的配料称重效果都存在一定的局限性,主要在于被控参数的实时变化引起控制器的稳定性下降,同时参数调节不能补偿系统特性,导致系统性能指标达不到要求。
2.2动态配料的控制策略实现原理
在动态配料称重过程中,为了提髙称重精度,保证配料速度,提高系统效率。不能等到称斗静止后再进行称量,因为被测重量是随时间变化的。按照动态配料生产工艺流程,在系统完成一次配料后,进入下一次配料程序时,PLC首先检测配料称重值是否小于设定值,若小于设定值即启动物料仓送料装置,开始打开阀门下料。则称重传感器把所测的动态数据经智能控制单元完成A/D转换后输入PLC控制器;控制器按照所釆集的动态称重实时数据与事先设定好的预期配料设定值(即配合比参数)进行对比(粉料还需经螺旋机构输送),利用算法进行配料精确控制,保证配料误差在控制范围内;当称重值达到或接近所设定的重量时,控制器立刻发出关闭卸料装置和进料机构的指令;等稳定后,将所有的物料称量好,各种称重料的重量按照设定程序送入搅拌机,等待搅拌(完成一次配料全过程)。
3模糊控制规则
3.1模糊控制的基本原理
模糊控制是建立在模糊集合和模糊逻辑的基础上的,核心部分是模糊控制器。模糊控制器的控制规则由计算机的程序实现,微机通过釆样获取被控对象的精确值,然后将此量与给定值比较得到误差信号E(取误差反馈)。一般误差信号E作为模糊控制器的输入量。把误差信号E的精确量进行模糊化变成模糊量,误差E的模糊量可用相应的模糊语言表示。至此,得到了误差E的模糊语言集合的一个子集e(e实际是一个模糊向量)。再由e和模糊控制规则R(模糊关系)根据推理合成规则进行决策,得到模糊控制量为:u=e*R,其中u为一个模糊量。
3.2模糊控制算法与特点
模糊控制是以模糊集理论为基础,以模糊语言变量和逻辑
推理为工具,能够利用人的经验和知识,把直觉推理纳入到决策中的一种智能控制器。即:先按概念组成的经验控制规则对输入参量进行控制,将被控量的精确值进行模糊量化,进而转化为模糊量约束,再根据模糊控制规则,推理的合成规则进行模糊决策,最后将得到的模糊控制量转化为精确值进行控制气在工程控制系统中,很多系统都是多因素的,数学模型建立比较困难,其控制规则显得复杂,给实际操作带来不便。而模糊控制不用建立数学模型,根据实际系统的输入输出结果数据,参考现场操作人员的运行经验,就可对系统进行实时控制。同时,模糊控制也包含这种思想模式一种对人类思维特点的模拟同。因此在设计新型的智能控制器时可以借鉴模糊控制的思想。
4智能逻辑预测控制器设计
4.1逻辑控制器
逻辑控制器的工作原理与模糊控制器相似,都是直接根据误差及误差变化,通过逻辑推理得到控制量,而不是根据控制对象的数学模型而是根据系统运动状况(误差和误差率)来调整控制器的输出回。逻辑智能控制系统的结构如图3所示。

通过对比逻辑控制与PID控制的模型仿真,得出系统输出如图4所示。

从和PID控制比较来看,逻辑控制要好于PID控制。表现出稳定性好、超调量小、响应快速的特点。在一定程度上克服了PID控制系统的快速性和稳定性不完全匹配和PID控制中参数相互影响的问题。
4.2逻辑预测控制器
目前应用最为广泛的预测控制技术为模型预测控制(MPC)o模型预测控制又称滚动时域控制,是一类基于模型的预测控制算法的集合。MPC将控制问题描述为约束优化问题,具有在线处理控制量约束和输岀量约束的优点。其基本思想:是利用每个釆样时刻的测量信息(包括系统的、环境的和任务的)刷新该优化问题并在线重复求解以获得最新的优化控制动作。
对比预测控制与逻辑控制的仿真结果。从图5可以看出,在模型完全匹配的情下,预测控制的结果是最优的。通过对逻辑控制器和预测控制器的分析可知,逻辑控制器是对人主动开环控制及强时变控制的模拟,预测控制是对操作员经验的模拟,其共同特征是主动时变控制。两者的结合将是对人的控制思维特点的较全面模拟,相信可以在工业过程控制中得到广泛应用。通过仿真分析,可以发现,逻辑预测控制对对象参数变化不是很敏感。当被控参数设定好后,其在一定范围内变化时,大多数情况下仅极点大小发生变化(判断是否稳定),系统仍然具有良好的稳定性及控制性能指标。

5结语
针对稳定土拌和站动态配料系统中的滞后过程,如在称重过程中,物料下料的不稳定性和机械装备的惯性所造成的纯滞后即存在一个过冲量,由于这种过冲量的不确定性,给控制带来了很大困难。利用最小二乘算法的在线修正补偿特性,在线校正下一次的控制测量称重值。同时模拟人的思维特点,提出一种新型的逻辑预测智能控制器,通过多次数据测试和仿真实验,其控制规律可以使系统运行比较稳定,其配料精度和速度都达到要求,整个系统的效率也得到了提高。Matlab仿真表明,与其它类型人工智能控制器相比,该控制器结构简单,具有响应快、鲁棒性强、超调量小、稳态精度高的特点。便于在工业控制领域推广应用。
本文源于网络转载,如有侵权,请联系删除
×